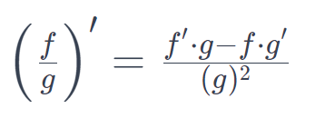
<< 미적분학에서 두 함수의 나눗셈의 도함수를 구하는 규칙입니다. >>
1.설명
- 각 함수의 도함수를 개별적으로 구한 다음 공식에 대입하여 계산할 수 있습니다.
2. 증명
이해를 쉽게하자면 f'(x) 계산 과정 3번째 줄에 각 분모에 -h(x)g(x)를 하는 것을 곰곰히 생각하시면 공식 증명은 쉽습니다.
3. 활용 (기초)
위의 미분을 구하시오.
g(x) = 2x-1
h(x) = x 라고 할 때.
도함수 먼저 계산하면,
g'(x) = 2
h'(x) = 1
따라서, ( 2x - (2x-1) ) / x^2 가 됩니다.
이를 계산하면, 최종 도함수는 1 /x^2 로 표현됩니다.
3. 활용 (심화)
chain Rule 과 Quotient Rule , Power Rule 과 같이 함께 사용하면 환상의 하모니가 열립니다. ~~~

아래의 문제를 풀어보세요
chain Rule 을 이용합니다.
5( (t-4) / (t-1) )^4 * d/dt ( (t-4) / t-1) )
Quotient Rule 을 이용합니다.
5( (t-4) / (t-1) )^4 * ( t-1 - t-4) / (t - 1)^2
=> 5( (t-4) / (t-1) )^4 * (-5 / (t - 1)^2)
=> -25 (t-4)^4 / (t - 1 )^6
https://knowledge-skills.tistory.com/52
Chain Rule (연쇄 법칙)
> 1.설명 외부 함수와 내부 함수의 미분을 곱하는 것이 연쇄법칙의 핵심 아이디어입니다. 연쇄법칙의 수학적 표현은 다음과 같습니다: 위 공식의 u는 내부함수입니다. 즉 , g(x) = u 라고 생각하
knowledge-skills.tistory.com
'수학 > 미적분학' 카테고리의 다른 글
linear approximation (선형 근사치) (1) | 2023.12.20 |
---|---|
Chain Rule (연쇄 법칙) (0) | 2023.12.20 |
exponential Function (지수 함수) (0) | 2023.12.19 |
Logarithmic Functions (로그 함수) (0) | 2023.12.19 |
Inverse Function (역함수) (0) | 2023.12.19 |