728x90
<< 아래의 조건에 성립되면 아래 공식이 성립되는 정리 >>
1.조건
1) 와 가 에서 정의
2) f(x) = g(x)=0 또는 f(x) = g(x) = ±∞
3) 가 0이 아닌 근방에서 정의 ( g(x) not equal 0)
2.설명
- 형태 0/0:
예를 들어 아래의 식이라고 가정하자.
여기서, f, , 그리고 입니다.
이 문제에 L'Hôpital의 규칙을 적용하면 ( f(x) 미분 / g(x) 미분 )
위와 같이 적용 할 수 있습니다.
※ 수식으로 보면 이해가 어려울 수 있어 그래프로 추가 설명 드립니다.
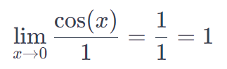
위와 같이 f(x) = sin(x) 이므로 미분하여 f'(x)를 만들면,
f'(x) = cos(x) 가 됩니다.
(이유는 sin(x)의 경우 순간변화율(기울기) sin(2/ π) 에서 0이 되는 그래프는 cos(x)이기 때문에 라고 생각하시면 쉽습니다.)
그래프를 보시면 극한 0에 수렴하는 y의 값이 f'(x) = 1 , g'(x) = 1 이라는 것을 확인 할 수 있습니다.
matlab으로 작성한 코드는 아래와 같으니 ,만약 확인하시고 싶으시면 사용하셔도 됩니다.
clc
close all
clear
% 함수 및 도함수 정의
syms x;
f = sin(x);
g = x;
% 도함수 계산
f_prime = diff(f, x);
g_prime = diff(g, x);
% 함수 및 도함수 함수 핸들 생성
f_func = matlabFunction(f);
g_func = matlabFunction(g);
f_prime_func = @(x) subs(f_prime, x);
g_prime_func = @(x) subs(g_prime, x);
% 그래프 그리기
x_values = linspace(-5, 5, 1000);
f_values = f_func(x_values);
g_values = g_func(x_values);
f_prime_values = f_prime_func(x_values);
g_prime_values = g_prime_func(x_values);
% 그래프 스타일 설정
figure;
% f(x) 그래프
subplot(3, 2, 1);
plot(x_values, f_values, 'b', 'LineWidth', 2);
title('Graph of f(x)');
xlabel('x');
ylabel('f(x)');
grid on;
% g(x) 그래프
subplot(3, 2, 2);
plot(x_values, g_values, 'r', 'LineWidth', 2);
title('Graph of g(x)');
xlabel('x');
ylabel('g(x)');
grid on;
% f'(x) 그래프
subplot(3, 2, 3);
plot(x_values, f_prime_values, 'm', 'LineWidth', 2);
title('Graph of f''(x)');
xlabel('x');
ylabel('f''(x)');
grid on;
% g'(x) 그래프
subplot(3, 2, 4);
plot(x_values, g_prime_values, 'c', 'LineWidth', 2);
title('Graph of g''(x)');
xlabel('x');
ylabel('g''(x)');
grid on;
- 형태 ∞/∞:
예를 들어 아래의 식이라고 가정하자
여기서, , 이고, 입니다. L'Hôpital의 규칙을 적용하면,
위와 같이 증명이 됩니다.
단, 로피탈의 정리는 형태가 반드시 0/0 이거나 ∞/∞ 이어야 되므로, 주의하면서 사용해야됩니다.!!!

728x90
반응형
'수학 > 미적분학' 카테고리의 다른 글
Integration by Parts (부분적분법 (로다삼지)) (1) | 2023.12.26 |
---|---|
Newton-Raphson method (뉴턴-랩슨 방법) (1) | 2023.12.26 |
The Mean Value Theorem (평균값 정리) (1) | 2023.12.22 |
Rolle's Theorem (롤의 정리) (2) | 2023.12.22 |
Hyperbolic Functions (쌍곡선 함수) (0) | 2023.12.20 |