728x90
<< 함수 f가 닫힌 구간 에서 연속이고 구간 에서 미분 가능하며,
일 때, 적어도 하나의 가 (에서 존재하여 ' 이라는 정리입니다. >>
1.설명
- 만약 함수가 양 끝에서 같은 값을 가지면 그 중간에는 순간 변화율이 0이 되는 지점이 반드시 하나 존재한다.
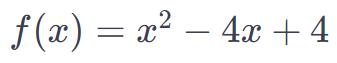
2. 예시
이 함수는 구간 [1,3]에서 연속이고 미분 가능하며, f(1)=f(3)=1입니다.
따라서 Rolle의 정리에 따르면 구간 (1,3)에서 f′(c)=0을 만족하는 가 존재합니다.
설명을 드리자면, 위와 같은 그래프(롤의 정리에 만족하는 가정 하에)에서 순간 변화율이 0인 부분이 있습니다.
우리는 이제 위 순간 변화율의 x 좌표 'c'를 찾을 수 있습니다.
위 정리 하에 우리는 The Mean Value Theorem (평균 값 정리) 를 도출 할 수 있습니다...
The Mean Value Theorem (평균값 정리)
> 1.설명 (조건) 닫힌 구간 [a,b]에서 연속 이어야 합니다. 구간 (a,b)에서 미분 가능하여야 합니다. 적어도 하나의 c가 (a,b)에서 존재한 상태입니다. ※ 이 공식의 이름 자체가 '평균 값' 이라는 단어
knowledge-skills.tistory.com

728x90
반응형
'수학 > 미적분학' 카테고리의 다른 글
L’Hospital’s Rule (로피탈의 정리) (0) | 2023.12.23 |
---|---|
The Mean Value Theorem (평균값 정리) (1) | 2023.12.22 |
Hyperbolic Functions (쌍곡선 함수) (0) | 2023.12.20 |
linear approximation (선형 근사치) (1) | 2023.12.20 |
Chain Rule (연쇄 법칙) (0) | 2023.12.20 |