728x90
<< 삼각함수의 쌍곡선 버전 >>
1.정의
- 쌍곡선 사인(sinh)
- 쌍곡선 코사인(cosh)
- 쌍곡선 탄젠트(tanh)
- 쌍곡선 코시컨트(csch)
- 쌍곡선 시컨트(sech)
- 쌍곡선 코탄젠트(coth)
2. 기초 공식
삼각함수와 쌍곡선 함수의 공식의 차이를 아래와 같이 비교하겠습니다.
아래 부터 위(삼각함수 공식) , 아래 (쌍곡선 함수)
1) 덧셈, 뺄셈 공식:
sin(x±y) = sin(x)cos(y) ± cos(x)sin(y)
cos(x±y) = cos(x)cos(y) ∓ sin(x)sin(y)
sinh(x±y) = sinh(x)cosh(y) ± cosh(x)sinh(y)
cosh(x±y) = cosh(x)cosh(y) ± sinh(x)sinh(y)
2) sec²의 tan² 변환:
sec2(x) = 1 + tan2(x)
sech2(x) = 1 − tanh2(x)
3) sin(-x) 변환:
sin(−x) = − sin(x)
sinh(−x) = − sinh(x)
4)cos(-x) 변환:
cos(−x) = cos(x)
cosh(−x) = cosh(x)
5) 피타고라스 변환:
sin2(θ) + cos2(θ) = 1
cosh2(x) - sinh2(x) = 1
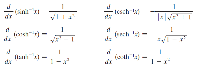
3. 미분
건강에 해로운 공식이므로 공식은 숨겨놓겠습니다.
728x90
반응형
'수학 > 미적분학' 카테고리의 다른 글
The Mean Value Theorem (평균값 정리) (1) | 2023.12.22 |
---|---|
Rolle's Theorem (롤의 정리) (2) | 2023.12.22 |
linear approximation (선형 근사치) (1) | 2023.12.20 |
Chain Rule (연쇄 법칙) (0) | 2023.12.20 |
Quotient Rule (몫 규칙 = 나눗셈의 미분) (1) | 2023.12.20 |